Notizie del settore

Soluzioni a base di ciclodestrina per il miglioramento della solubilità e della stabilità

2025-12-23 - Lasciami un messaggio

Soluzioni a base di ciclodestrina per il miglioramento della solubilità e della stabilità

Panoramica tecnica di Hydroxypropyl Betadex e Betadex Sulfobutyl Ether Sodium

Le ciclodestrine sono ampiamente riconosciute per la loro capacità di migliorare la solubilità e la stabilità di composti scarsamente solubili o chimicamente sensibili. Grazie alla loro struttura molecolare ciclica unica, le ciclodestrine e i loro derivati ​​sono diventati importanti eccipienti funzionali nei campi farmaceutico, chimico e delle formulazioni correlate. In risposta ai crescenti requisiti tecnici e normativi, Xi’an Deli Biochemical ha ulteriormente perfezionato la documentazione tecnica e il supporto del prodotto per i suoi principali derivati ​​della ciclodestrina:idrossipropil betadex (HPBCD) e betadex solfobutil etere sodico (SBECD).


Caratteristiche strutturali e prestazioni funzionali delle ciclodestrine

Le ciclodestrine sono oligosaccaridi ciclici composti da unità di glucosio legate da legami glicosidici α-1,4. La loro architettura molecolare presenta una superficie esterna idrofila e una cavità interna relativamente idrofobica, consentendo la formazione di complessi di inclusione con un'ampia gamma di molecole ospiti. La modifica chimica della struttura della ciclodestrina può migliorare significativamente la solubilità in acqua e ampliare la versatilità applicativa.


Idrossipropil Betadex (HPBCD)


L'idrossipropil betadex è una β-ciclodestrina chimicamente modificata progettata per superare la limitata solubilità delle ciclodestrine native. La sua maggiore solubilità in acqua e la compatibilità favorevole rendono HPBCD adatto per applicazioni che richiedono un'efficace solubilizzazione, stabilizzazione e flessibilità di formulazione in diversi sistemi.


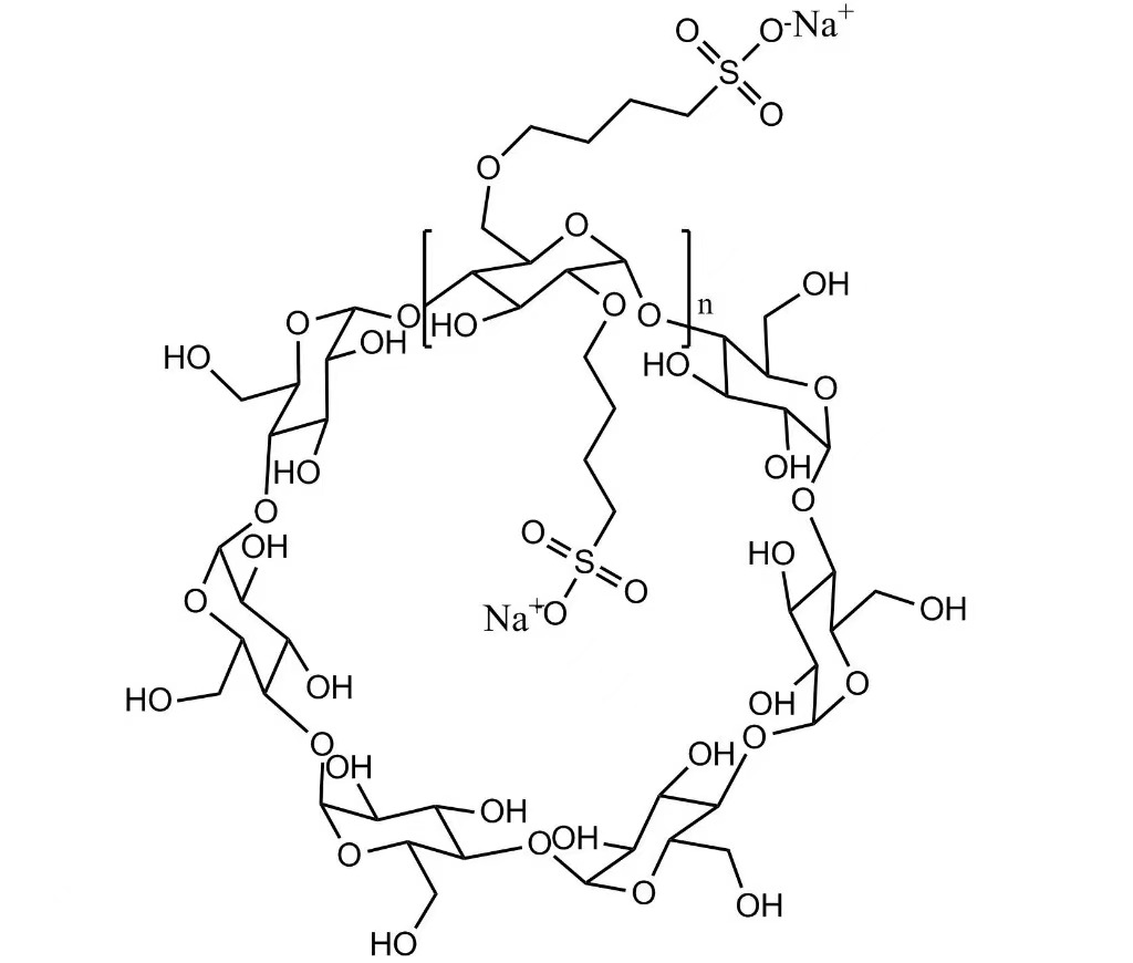
Betadex solfobutil etere sodico (SBECD)


Betadex solfobutil etere sodico è un derivato anionico della ciclodestrina caratterizzato da sostituenti solfobutiletere. Questa struttura migliora le interazioni elettrostatiche con composti specifici, supportando una migliore solubilità, stabilità complessa e robustezza della formulazione nelle applicazioni più impegnative.

Informazioni sul prodotto standardizzate e supporto tecnico

Per supportare meglio lo sviluppo della formulazione, la valutazione della qualità e i processi di approvvigionamento, Xi'an Deli Biochemical ha aggiornato sistematicamente le informazioni sui prodotti per HPBCD e SBECD, tra cui:


  • Specifiche di prodotto e parametri analitici chiaramente definiti e standardizzati
  • Certificati di analisi (COA) specifici per lotto per garantire la tracciabilità e la verifica della qualità
  • Domande frequenti tecniche estese riguardanti la gestione, lo stoccaggio e considerazioni sulle applicazioni tipiche
  • Riepiloghi dei prodotti ottimizzati progettati per facilitare un'efficiente revisione e selezione tecnica


Questi miglioramenti hanno lo scopo di aumentare la trasparenza, ridurre i tempi di valutazione e supportare prestazioni costanti del prodotto durante tutto il ciclo di fornitura.


Esperienza nella produzione e garanzia di qualità

Fondata nel 1999, Xi'an Deli Biochemical vanta 26 anni di esperienza nella produzione di derivati ​​della ciclodestrina. L'azienda si concentra sulla produzione controllata di idrossipropil betadex e betadex solfobutil etere sodico, sottolineando la coerenza del processo, l'affidabilità lotto per lotto e la stabilità della fornitura a lungo termine. Le pratiche strutturate di gestione della qualità supportano i requisiti tecnici, normativi e di approvvigionamento dei clienti.


Ambito di applicazione e collaborazione tecnica

Basati sui meccanismi di inclusione e stabilizzazione della ciclodestrina, HPBCD e SBECD sono applicabili in molteplici campi tecnici, comprese formulazioni farmaceutiche, prodotti chimici speciali, prodotti veterinari e altri sistemi che richiedono maggiore solubilità e stabilità. Xi’an Deli Biochemical continua a impegnarsi con i partner attraverso comunicazioni focalizzate sull’applicazione e collaborazione tecnica per supportare le esigenze di formulazione in evoluzione.


Informazioni sulle aziende del settore biochimico di Xi'an Deli

Fondata nel 1999, Xi'an Deli Biochemical Industry Companies è un produttore specializzato di derivati ​​della ciclodestrina, che fornisce idrossipropil betadex (HPBCD) e betadex solfobutil etere sodico (SBECD) a clienti globali. Con un focus di lunga data sulla coerenza del prodotto, specifiche chiare e supporto tecnico pratico, l'azienda continua a impegnarsi a fornire soluzioni affidabili a base di ciclodestrina.


Se vuoi posso anche:


  • Ottimizzarlo ulteriormente per la SEO di Google (senza ridurre il tono tecnico)
  • Condensalo in una versione di "Aggiornamento tecnico" della pagina del prodotto
  • Adattatelo ai clienti incentrati sulla regolamentazione/qualità


Dimmi solo dove pensi di pubblicarlo.


Invia richiesta


icon
X
Utilizziamo i cookie per offrirti una migliore esperienza di navigazione, analizzare il traffico del sito e personalizzare i contenuti. Utilizzando questo sito, accetti il ​​nostro utilizzo dei cookie. politica sulla riservatezza
Rifiutare Accettare